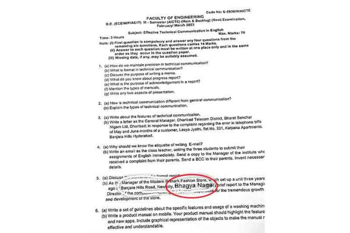
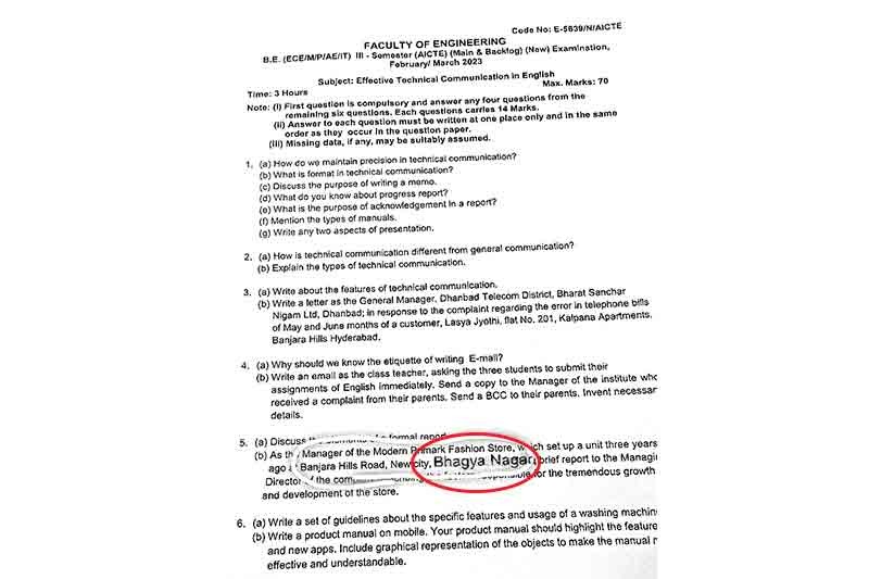
حیدرآباد: عثمانیہ یونیورسٹی کی جانب سے انجینئرنگ کے سیمسٹر III امتحان کے پرچہ سوالات میں حیدرآباد کو بھاگیہ نگر لکھا گیا۔اس کے ذمہ داروں کے خلاف کارروائی کرنے کا مطالبہ کرتے ہوئے مہر آرگنائزیشن نے رجسٹرار عثمانیہ یونیورسٹی کو مکتوب روانہ کیا۔ مکتوب میں بتایا گیا ہے کہ لفظ بھاگیہ نگر فرقہ وارانہ حساس نوعیت رکھتا ہے اور یہ حیدرآباد کے باشندوں کے جذبات کو ٹھیس پہنچانے کے لئے استعمال کیا جاتا ہے۔ہم حیدرآبادی عوام اس کی شدید مخالفت کرتے ہیں۔ آپ کے شعبہ نے غیر ضروری اقدام کیا ہے۔ ہمیں امید ہے کہ اس ضمن میں ضروری کارروائی کی جائے گی۔






